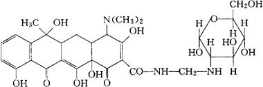
甲葡环素
C29H37N3O13=635.62 CAS-31770-79-3 2-去氧-2-[[[4-(二甲氨基)-1,4,4a,5,5a,6,11,12a八氢-3,6,10,12,12a-五羟-6-甲基-1,11-二氧代-2-并四苯羧酰胺基]甲基]氨基]-β-D--吡喃葡萄糖。 2-Deoxy-2-[[[4-(dimethylamino)-1,4,4a,5,5a,6,11,12a-octahydro-3,6,10,12,12a-pentahydroxy-6-methyl-1,11-dioxo-2-naphthacenecarboxamido]methyl]amino]-β-D-glucopyranose. 抗生素类药。 Meglucycline,Biophan,Neoprodesciclina. INN,USAN.  |