网站首页  词典首页

请输入您要查询的字词:

 

字词 电液伺服阀的选择
类别 中英文字词句释义及详细解析
释义 电液伺服阀的选择

选择电液伺服阀主要就是根据系统的控制功率及动态响应要求来确定伺服阀的额定流量(对压力伺服阀为额定流量容量)及动态响应,从而选定电液伺服阀规格。

(1)选择的原则

合理地选用伺服阀,主要应考虑以下因素:

·阀的工作压力、额定流量(对压力伺服阀为额定流量容量)和动态响应等性能必须满足系统的使用要求;

·优先选用通用型的伺服阀;

·工作可靠,性能稳定;

·价格合理;

·适用的工作液;

·电气性能(伺服阀的输入电流或电压,线圈电阻,电感及线圈结构型式);

·安装结构;

·附属装置(插头、引线、内部过滤器和零位调节装置等);

·外形尺寸;

·有良好的售后服务。

(2)确定电液流量伺服阀的参数

以伺服阀驱动直线运动双作用液压缸、直接带动惯性负载为例。若系统供油压力ps,负载输出力F及速度v已知,则可按以下步骤选择伺服阀的型号规格。

(A)根据系统供油压力ps及要求的最大输出力Fmax,确定液压缸活塞的有效面积A

A=Fmax/ps

如面积A已知,则ps应大于Fmax/A,否则应增大ps

(B)由关键工作点的负载速度vL及负载力FL确定伺服阀负载流量qL及负载压降pL

qL=AvL

pL=Fll/A

(C)估算伺服阀输出流量qv: 伺服阀输出流量qv应根据所需的负载流量qL留出15%余量的估算方法进行选定(考虑到阀额定流量的制造公差及液压缸泄漏)。在需要快速性好的情况下,估算应留出30%左右的余量(考虑到阀与执行机构间的管道损失),即

qv=(1.15~1.30)qL

(D)由qv及qL计算在系统供油压力为ps时的伺服阀空载流量q0

(E)将q0换算成伺服阀样本规定的额定供油压力pn下的空载额定流量qn

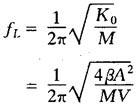
(F)对开环控制系统,伺服阀的相频宽比系统要求的相频宽大3~5Hz就足以满足一般系统的要求。但为获得良好性能的闭环控制系统,伺服阀的相频宽(fv)应为负载固有频率fL的三倍以上,即

fv≥3fL

负载固有频率fL由负载质量和液压刚度等确定,可用下式计算

式中 K0——液压刚度(N/cm),K0=4βA2/V;

β——液压油弹性模量,β=700~1400MPa,或取实测值;

V——伺服阀控制窗口(工作油口)到液压缸活塞的总容积(cm3);

M——负载及活塞的质量(kg)。

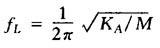
如安装结构的刚度比较差,则负载固有频率由整个执行机构刚度(KA)确定,即

KA是液压刚度K0及结构刚度Ks的组合,由下式计算

(G)选定伺服阀规格

查样本选定伺服阀时,应满足两个条件:

·系统供油压力应在伺服阀样本规定的“供油压力范围”内;

·伺服阀的额定流量应等于或稍大于计算所得的qn,过大的伺服阀额定流量会导致系统精度及性能下降,阀的价格提高。

(3)确定电液压力伺服阀的参数

·电液压力伺服阀一般用于压力控制系统,如伺服加载系统和电子防滑刹车系统等。压力伺服阀的选择方法与流量伺服阀的选择方法基本相同。压力伺服阀的选择,首先要满足控制压力及负载流量的要求。

·值得注意的是:压力伺服阀的动态特性极大地取决于阀的额定流量容量及负载的特性,因此必须与系统的特性一起考虑。在上述这些系统中,特别是防滑刹车系统中,刹车容腔和管道内液压油的可压缩性,以及管道和结构的弹性,往往成为左右动态的主要因素。

·液压油的可压缩性及结构的弹性,再加上系统的频带要求或刹车(或松刹)的时间要求,可以确定出对压力伺服阀额定流量容量的基本要求。负载流量变化大或刹车(或松刹)时间要求快的系统,应选择额定流量容量大和压力降小的压力伺服阀。但是,压力伺服阀的额定流量容量也不宜选得过大,过大的额定流量容量可能会导致阀和系统的不稳定或控制精度的下降。

随便看

 

文网收录3541549条中英文词条,其功能与新华字典、现代汉语词典、牛津高阶英汉词典等各类中英文词典类似,基本涵盖了全部常用中英文字词句的读音、释义及用法,是语言学习和写作的有利工具。

 

Copyright © 2004-2024 Ctoth.com All Rights Reserved
京ICP备2021023879号 更新时间:2025/12/11 14:08:51