白水中绝干固形物含量的计算实例
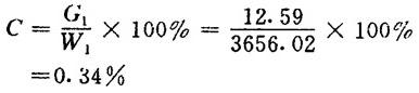
【例】 某造纸车间的纸料制备工段,每天使用的原材物料如下:纸浆248t(水分8%),高岭土31t(水分7%),淀粉2.4t(水分15%),松香胶1.1t(水分50%),矾土2.1t(绝干),水4000m3(其中包括纸浆和辅料中的水量)。该造纸机生产的纸张定量为62g/m2,成纸水分7%,车速1200m/min,抄宽2.5m,湿纸页进入干燥部的水分含量为58%,损失的水全部排出。假设废水中所有物料有相同的保留率,且每立方米废水重1t,试计算废水中总的绝干固形物的百分含量。 解: ❶ 进入湿部的绝干物料量G的计算 纸浆=248×92%=228.16(t/d) 高岭土=31×93%=28.83(t/d) 矾土=2.1(t/d) 淀粉=2.4×85%=2.04(t/d) 松香胶=1.1×50%=0.55(t/d) ∴G=228.16+28.83+2.1+2.04+0.55 =261.68(t/d) ❷ 造纸机日产量G2的计算   排出废水量为  ❹ 废水中绝干固形物含量:  |