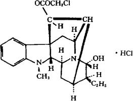
盐酸劳拉义明
C22H27ClN2O3·HCl=439.38 CAS-40819-93-0 CAS-47562-08-3(lorajmine) 17-氯乙酸阿吗兰-17,21-二醇酯,单盐酸盐17R,21α)-。 Ajmalan-17,21-diol,17-chloroacetate,monohydrochloride,(17R,21α)-. 阿吗灵17-(氯乙酸酯)单盐酸盐。 Ajmaline 17-(chloroacetate)monohydrochloride. 抗心律失常药。 盐酸劳拉明,盐酸缓脉灵。 Lorajmine Hydrochloride,Win 11831,Ditmos. INN(Lorajmine),USAN.  |