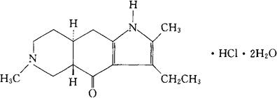
盐酸匹喹酮
C15H22N2O·HCl·2H2O=318.84 CAS-83784-19-4 CAS-78541-97-6(piquindone) 反式-(±)-3-乙基-1,4a,5,6,7,8,8a,9-八氢-2,6-二甲基-4-吡咯并[2,3-g]异喹啉-4-酮,单盐酸盐,二水化物。 trans-(±)-3-Ethyl-1,4a,5,6,7,8.8a,9-octahydro2,6-dimethyl-4H-pyrrolo[2,3-g]isoquinolin-4-one,monohydrochloride,dihydrate. 抗精神病药。 盐酸吡奎通。 Piquindone Hydrochloride,RO-22-1319/003. INN,USAN.  |