盐酸匹氨西林
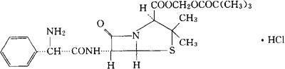
C22H29N3O6S·HCl=500.01 CAS-26309-95-5 D-(-)-6-(2-氨基-2-苯乙酰胺基)青霉烷酸羟甲酯,三甲基乙酸酯,盐酸盐。 Hydroxymethyl D-(-)-6-(2-amino-2-phenylacetamido)penicillanate pivalate hydrochloride. D-(-)-6-(2-氨基-2-苯乙酰胺基)-3,3-二甲基-7-氧代-4-硫杂-1-氮杂双环[3.2.0]庚烷-2-羧酸羟甲酯,三甲基乙酸酯,盐酸盐。 Hydroxymethyl D-(-)-6-(2-anino-2-phenylacetamido)-3,3-dimethyl-7-oxo-4-thia-1-azabicyclo[3.2.0]heptane-2-carboxylate pivalate hydrochlozide. 抗生素类药。 盐酸匹氨苄西林。 Pivacillin,Pivapen,Pivampicillin Hydrochloride,Alphacillina,Berocillin,Centurina,Devonian,Diancina,Inacina,Isvitrol,Kesmicina,Maxifen,Oxidina,Pivacilin,Piraeicin,Pivapen,Pivatil,Pondocil,Pondocillin,Pondocillina Sanguicillin. USAN,MI.  |