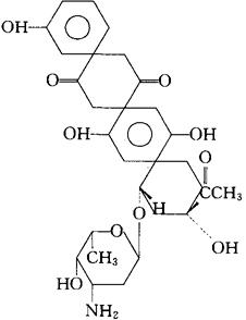
盐酸卡柔比星
C26H27NO10·HCl=549.96 CAS-52794-97-5 CAS-50935-04-1 8-乙酰-10-[(3-氨基-2,3,6-三脱氧-α-L-来苏-吡喃己糖基)氧]-7,8,9,10-四氢-1,6,8,11-四羟基-5,12-并四苯二酮盐酸盐,(8S-顺式)。 8-Acetyl-10-[(3-amino-2,3,6-trideoxy-α-L-lyxohexopyranosyl)oxy]-7,8,9,10-tetrahydro-1,6,8,11-tetrahydroxy-5,12-naphthacenedione,hydrochloride,(8S-cis). (1S,3S)-3-乙酰-1,2,3,4,6,11-六氢-3,5,10,12-四羟基-6,11-二氧代-1-并四苯基3-氨-2,3,6-三脱氧-α-l-来苏-吡喃己糖苷盐酸盐。 (1S,3S)-3-Acetyl-1,2,3,4,6,11-hexahydro-3,5,10,12-tetrahydroxy-6,11-dioxo-1-naphthacenyl 3-amino-2,3,6-trideoxy-α-L-lyxo-hexopyranoside hydrochloride. 抗生素类药,抗肿瘤药。 盐酸卡米诺霉素,盐酸卡鲁比星。 Carubicin Hydrochloride,Carminomycin Hydrochloride,NSC-180024. INN,USAN.  |