盐酸卤泛群
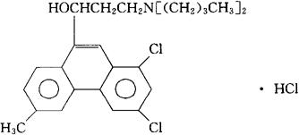
C26H30Cl2F3NO·HCl=536.89 CAS-36167-63-2 CAS-69756-53-2(halofantrine) CAS-66051-63-2[(±)-halofantrine] 1,3-二氯-α-[2-(二丁基氨基)乙基]-6-(三氟甲基)-9-菲甲醇,盐酸盐。 9-Phenanthrenemethanol,1,3-dichloro-α-[2-(dibutylamino)ethyl]-6-(trifluoroomethyl)-,hydrochloride. 1,3-二氯-α-[2-(二丁氨基)乙基]-6-(三氟甲基)-9-菲甲醇盐酸盐。 1,3-Dichloro-α-[2-(dibutylamino)ethyl]-6-(trifluoromethyl)-9-phenanthrenemethanol hydrochloride. 抗疟药。 盐酸卤泛曲林。 Halofantrine Hydrochloride,WR-171669. INN,BAN(Halofantrine),USAN. 
|