网站首页  词典首页

请输入您要查询的字词:

 

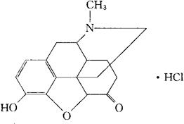
字词 盐酸吗啡酮
类别 中英文字词句释义及详细解析
释义 盐酸吗啡酮

C17H19NO3·HCl=321.80

CAS-71-68-1

4,5α-环氧-3-羟-17-甲基吗啡喃-6-酮盐酸盐。

4,5α-Epoxy-3-hydroxy-17-methylmorphinan-6-one hydrochloride.

镇咳药。

Hydromorphone Hydrochloride,Dilaudid,Hymorphan,Novolaudon,Laudicon.

USAN,USP,MI.

随便看

 

文网收录3541549条中英文词条,其功能与新华字典、现代汉语词典、牛津高阶英汉词典等各类中英文词典类似,基本涵盖了全部常用中英文字词句的读音、释义及用法,是语言学习和写作的有利工具。

 

Copyright © 2004-2024 Ctoth.com All Rights Reserved
京ICP备2021023879号 更新时间:2025/10/18 17:55:51