网站首页  词典首页

请输入您要查询的字词:

 

字词 盐酸吡利霉素
类别 中英文字词句释义及详细解析
释义 盐酸吡利霉素

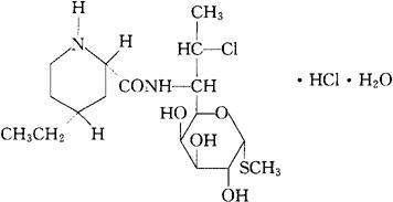
C17H31ClN2O5S·HCl·H2O=465.43

CAS-77495-92-2(monohydrate)

(2S-顺式)-甲基7-氯-6,7,8-三去氧-6-[[(4-乙基-2-哌啶基)羰基]氨基]-1-硫代-L-苏-α-D-半乳糖基-辛吡喃糖苷单盐酸盐,一水化合物。

(2S-cis)-Methyl 7-chloro-6,7,8-trideoxy-6-[[(4-ethyl-2-piperidinyl)carbonyl]amino]-1-thio-L-threoα-D-galacto-octopyranoside,monohydrochloride,monohydrate.

甲基7-氯-6,7,8-三去氧-6-顺-4-乙基-L-哌啶甲酰胺)-1-硫代-L-苏-α-D-半乳糖基-辛吡喃糖苷单盐酸盐一水合物。

Methyl 7-chloro-6,7,8-trideoxy-6-cis-4-ethyl-Lpipecolamido)-1-thio-L-threo-α-D-galacto-octopyranoside monohydrochloride monohydrate.

抗生素类药,抗菌药,抗疟药。

Pirlimycin Hydrochloride,U-57,930E.

INN(Prilimycin),USAN.

随便看

 

文网收录3541549条中英文词条,其功能与新华字典、现代汉语词典、牛津高阶英汉词典等各类中英文词典类似,基本涵盖了全部常用中英文字词句的读音、释义及用法,是语言学习和写作的有利工具。

 

Copyright © 2004-2024 Ctoth.com All Rights Reserved
京ICP备2021023879号 更新时间:2026/4/18 13:36:05