盐酸吡罗蒽醌
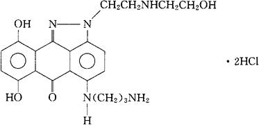
C21H25N5O4·2HCl=484.38 CAS-105118-12-5 CAS-91441-23-5(piroxantrone) 5-[(3-氨丙基)氨基]-7,10-二羟-2-[2-[(2-羟乙基)氨基]乙基]-蒽并[1,9-cd]吡唑-6(2H)酮,二盐酸盐。 5-[(3-Aminopropyl)amino]-7,10-dihydroxy-2-[2-[(2-hydroxyethyl)amino]ethyl]-anthra[1,9-cd]pyrazol-6(2H)-one,dihydrochloride. 抗肿瘤药。 Piroxantrone Hydrochloride,Oxanthrazole,Oxantrazole,CI 942,PD 111815. INN,USAN.  |