盐酸呋喃硫胺
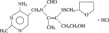
C17H26N4O3S2·HCl=435.01 CAS-804-30-8(fursultiamine) N-[(4-氨基-2-甲基-5-嘧啶基)甲基]-N-[4-羟-1-甲基-2-[(四氢呋喃甲基)二硫代]-1-丁烯基]甲酰胺盐酸盐。 N-[(4-Amino-2-methyl-5-pyrimidinyl)methyl]-N[4-hydroxy-1-methyl-2-[(tetrahydrofurfuryl) dithio]-1-butenyl]formamide hydrochloride. 维生素类药。用于各种神经痛、偏头痛、多发性神经炎、小儿麻痹后遗症及夜尿症等。 Fursulftiamine Hydrochloride. 注射用盐酸呋喃硫胺。  |