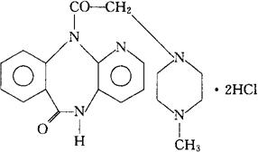
盐酸哌仑西平[中]
C19H21N5O2·HCl=424.33 CAS-28797-61-7(pirenzepine) CAS-29868-97-1 5,11-二氢-11-[(4-甲基-1-哌嗪基)乙酰]-6H-吡啶并[2,3-b][1,4]苯并二氮杂 -6-酮二盐酸盐。 5,11-Dihydro-11-[(4-methyl-1-piperazinyl)acetyl]-6H-pyrido[2,3-b][1,4]benzodiazepin-6-one,dihydrochloride. 制酸药。用于治疗胃溃疡病。 Pirenzepine,Gastrozepin. INN,BAN,JAN,USAN. 
|