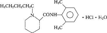
盐酸布比卡因[典]
C18H28N2O·HCl·H2O=342.91 CAS-14252-80-3 (±)-1-丁基-2′,6′甲基哌啶酰-二甲苯胺盐酸盐水化合物。 (±)-1-Butyl-2′,6′-pipecoloxylidide monohydrochloride monohydrate. 局部麻醉药。用于表面麻醉、浸润麻醉、神经传导阻滞及硬膜外阻滞。 盐酸丁派卡因,盐酸马卡因,盐酸丁吡卡因。 Bupivacaine Hydrochloride,Marcaine,Sensorcaine. 盐酸布比卡因注射液(布比卡因注射液,丁哌卡因注射液)。 BP,JAP,USAN,USP,MI.  |