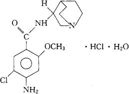
盐酸扎考必利
C15H20ClN3O2·HCl·H2O=364.27 CAS-99617-34-2 CAS-90182-92-6(zacopride) 4-氨基-N-1-氮杂双环[2.2.2]辛-3-基-5-氯-2-甲氧苯甲酰胺,单盐酸盐,一水化合物。 Benzamide,4-amino-N-1-azabicyclo[2.2.2]oct-3-yl-5-chloro-2-methoxy-,monohydrochloride,monohydroate. 4-氨基-5-氯-N-3-奎宁环基-邻-茴香酰胺单盐酸盐-水化合物。 4-Amino-5-chloro-N-3-quinuclidinyl-o-anisamidemonohydrochlorode monohydrate. 镇吐药。 Zacopride Hydrochloride,AHR-11190-B. INN,USAN. 
|