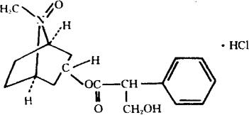
盐酸氧阿托品
C17H23NO4·HCl=341.83 CAS-4574-60-1 CAS-4438-22-6(atropine oxide) α-(羟甲基)苯乙酸-8-甲基-8-氮杂双环[3.2.1]辛烷-3-醇酯,8-氧化物盐酸盐,内-(±)-。 α-(Hydroxymethyl)benzeneacetic acid 8-methyl-8-azabicyclo[3.2.1]oct-3-yl ester,8-oxide,hydrochloride,endo-(±)-. 1αH,5αH-托烷-3α-醇(±)托品酸酯8-氧化物盐酸盐。 1αH,5αH-Tropan-3α-ol(±)-tropate(ester)oxide hydrochloride. 抗胆碱药。 Atropine Oxide Hydrochloride. INN,(Atropine Oxide),USAN.  |