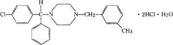
盐酸氯苯吡[台]
C25H27ClN2·2HCl·H2O=481.89 CAS-31884-77-2 1-(对-氯-α-苯苄基)-4-(间-甲苄基)哌嗪二盐酸盐一水化合物。 1-(p-Chloro-α-phenylbenzyl)-4-(m-methylbenzyl)piperazine dihydrochloride monohydrate. 抗组胺药和镇吐药。用于晕动病、妊娠、放射等引起的恶心、呕吐及过敏性疾病。 盐酸氯苯甲嗪,氯苯苄嗪,盐酸敏克静,美其敏,盐酸美克利嗪。 Meclozine Hydrochloride,Mecolozine Hydrochloride,Meclizine Hydrochloride,Antivert,Calmonal,Vertizine,Borine,Diadrilo. 敏克静片(盐酸氯甲苄嗪片)。 BP,IP,USAN,USP,MI. 
|