盐酸洛非帕明
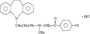
C26H27ClN2O·HCl=455.43 CAS-26786-32-3 CAS-23047-25-8(lofepramine) 1-(4-氯苯基)-2-[[3-(10,11-二氢-5H-二苯并[b,f]吖庚因-5-基)丙基]甲氨基]-乙烷酮,单盐酸盐。 1-(4-Chlorophenyl)-2-[[3-(10,11-dihydro-5Hdibenz[b,f]azepin-5-yl)propyl]methylamino]-ethanone,monohydrochloride. 4′-氯-2-[[3-(10,11-二氢-5H-二苯并[b,f]-吖庚因-5-基)-丙基]甲氨基]苯乙酮,单盐酸盐。 4′-Chloro-2-[[3-(10,11-dihydro-5H-dibenz[b,f]-azepin-5-yl)propyl]methylamino]acetophenone monohydrochloride. 抗抑郁药。 Lofepramine Hydrochloride, WHR-2908A,Lopramine Hydrochloride,Amplit,Deftan,Deprimil,Emdalen,Gamanil,Gamil,Tymelet,Tymelyt,DB 2182,Leo 640. INN,BAN & JAN(Lofepramine),USAN.  |