盐酸芬乙茶碱
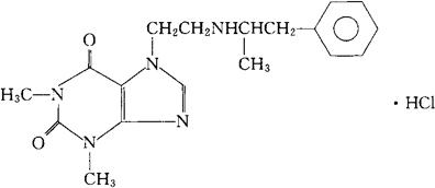
C18H23N5O2·HCl=377.87 CAS-1892-80-4 CAS-3736-08-1(fenethylline) 3,7-二氢-1,3-二甲基-7-[2-[(1-甲基-2-苯乙基)-氨基]乙基]-1H-嘌呤-2,6-二二酮单盐酸盐。 3,7-Dihydro-1,3-dimethyl-7-[2-[(1-methyl-2-phenylethyl)amino]ethyl]-1H-purine-2,6-dione,monohydrochloride. 7-[2-[(α-甲基苯乙基)氨基]乙基]茶碱单盐酸盐。 7-[2-[(α-Methylphenethyl)amino]ethyl]theophylline monohydrochloride. 中枢兴奋药,精神兴奋药。 Fenethylline Hydrochloride,Fenetylline Hydrochloride,Captagon,H 814. INN(Fenetylline),BAN,USAN.  |