盐酸酞氨西林
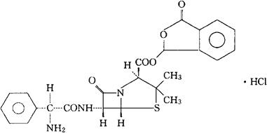
C24H23N3O6S·HCl=517.98 CAS-39878-70-1 CAS-47747-56-8(talampicillin) [2S-[2α,5α,6β(S*)]]-6-[(氨基苯基乙酰)氨基]-3,3-二甲基-7-氧代-4-硫杂-1-氮杂双环[3.2.0]庚烷-2-羧酸,1,3-二氢-3-氧代-1-异苯并呋喃酯,单盐酸盐。 [2S-[2α,5α,6β(S*)]]-6-[(Aminophenylacetyl)amino]-3,3-dimethyl-7-oxo-4-thia-1-azabicyclo[3.2.0]heptane-2-carboxylic acid,1,3-dihydro-3-oxo-1-isobenzofuranyl ester,monhydrochloride. (2S,5R,6R)-6-[(R)-2-氨基-2-苯乙酰胺基]-3,3-二甲基-7-氧代-4-硫杂-1-氮杂双环[3.2.0]庚烷-2-羧酸3-羟苯酞酯,单盐酸盐。 (2S,5R,6R)-6-[(R)-2-Amino-2-phenylacetamido]-3,3-dimethyl-7-oxo-4-thia-1-azabicyclo[3.2.0]heptane-2-carboxylic acid ester with 3-hydroxyphthalide,monohydrochloride. 抗生素类药。 盐酸氨苄青霉素酞酯。 Talampicllin Hydrochloride,BRL 8988,Talpen,Yamacillin. INN & BAN(Talampicillin),JAN,USAN. 
|