直接消费系数
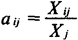
又称投入系数或技术系数,是投入产出原理中使用的基本概念之一。 它表示某纯部门(即生产同一产品的部门)生产每一单位产品所直接消耗的另一纯部门的产品的数量。直接消耗系数一般用符号aj表示,其计算公式是:  式中,Xij表示j部门生产对i部门产品的消耗量;Xj表示j部门的总产量或总产值。 根据部门联系平衡表中的数据,可以利用上式计算出直接消耗系数表,表中的数字组成一个方矩阵,叫做直接消耗系数矩阵。利用这样的矩阵可以进行多方面的计划测算。 如计算完全消耗系数等。 确定直接消耗系数的方法主要有:(1)对各部门所属企业的统计资料进行整理加工和个别调整;(2)对各类企业的消耗结构进行全面的技术经济分析。 由于科学技术进步等多种因素的影响,直接消耗系数不断会发生变化。因而在利用由部门联系平衡统计表得出的直接消耗系数时,必须进行修正,以防引出错误结论。 |