直线与椭圆
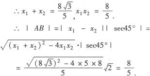
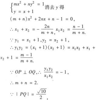
1.直线与椭圆的位置关系:通过直线方程与椭圆方程组成的方程组 ,对解的个数进行讨论,通常用消元法消去方程组中一个变量,得关于另一个变量的一元二次方程. ⅰ△>0 直线与椭圆相交 有两个公共点. ⅱ△=0 直线与椭圆相切 有且只有一个公共点. ⅲ△<0 直线与椭圆相离 没有公共点. 2.弦长问题 通常将直线方程与椭圆方程联立,得关于x(或y)的一元二次方程,然后用韦达定理,再求弦长,也可直接求直线与椭圆的交点. 例1 若直线y=kx+1与焦点在x轴上的椭圆 总有公共点,求m的取值范围. 解法一 直线y=kx+1过定点A(0,1) ∴A(0,1)必在椭圆内或椭圆上, 即 ,且5>m,故1≤m<5. 解法二 由 消去y得(m+5k2)x2+10kx+5(1—m)=0,∴△=100k2—20(m+5k2)(1—m)≥0时任意k∈R恒成立. ∵m>0,∴m≥1—5k2恒成立. ∴1—5k2的最大值为1. ∴m≥1,又m<5. ∴1≤m<5. 例2 已知斜率为1的直线l过椭圆 的右焦点交椭圆于A、B两点,求弦AB之长. 解 设A、B坐标分别为A(x1,y1),B(x2,y2). 由椭圆方程知,a2=4,b2=1,c2=3, ∴F( ,0), ∴直线l的方程为 . ❶ 将❶ 代入x2+4y2=4,化简整理得 ,   ❸ 中点弦问题 通常采用韦达定理或点差法求解,点差法步骤:设点(即设出弦的端点坐标)→代入(即代入曲线方程)→作差(即两式相减). 例3 已知椭圆的中心在坐标原点,焦点在坐标轴上,直线y=x+1与该椭圆相交于P和Q,且OP⊥OQ, ,求椭圆的方程. 策略 椭圆焦点位置不能确定,可设其方程为mx2+ny2=1(m>0,n>0,m≠n),本题涉及弦长,要用弦长公式,注意应用根与系数的关系,还有OP⊥OQ,应将kOp·kOQ=—1坐标化解决问题. 解 设椭圆方程为mx2+ny2=1(m>0,n>0),P(x1,y1),Q(x2,y2),由  ∴由弦长公式得  ∴所求椭圆方程为3x2+y2=2或x2+3y2=2. |