真空伏辊平衡计算
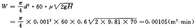
 【已知】 Q9=1000.6328 V9=5003.1640 C9=20% C12=12% 伏辊带出纤维率α4=0.2% 铜网冲边宽度b=2×25mm 抄宽Bm=3190mm, 横向收缩率ε=3.5% 洗伏辊水W3=9639, 伏辊水封水W4=3936.9 伏辊处损纸率α5=1.0% 【计算】 湿纸幅宽Bn= = =3306湿纸边占整个湿纸幅宽的比率(进入伏损池) x= ×100%=1.4899%进入伏损池的湿损纸量: Q11′=Hα5=1009.2241×1%=10.0922 冲边量Q″11=x·Q12 Q11=Q11′+Q11″=10.0922+xQ12 自水带走纤维进入真空室,后进入水封池, Q10=α4Q12,对伏辊进行平衡,则: Q12=Q10+Q11+Q9 即Q12=α4Q12+xQ12+Q11′+Q9= =1028.0988 Q11=10.0922+xQ12=25.4098 Q10=Q12-Q9-Q11=2.0562 V12= =8567.4900 湿纸切边及引纸水针使用的是687kPa以上的高压水,水针喷孔孔径为1mm,流量系数μ取0.6,则每支水针喷水量:  设纸机日产50t,每日工作22.5h,则生产吨纸所需时间为:  生产每吨纸的湿纸切边及引纸水针(共3根水针)用水量为:  水针切下的湿纸边用冲边水冲入伏损池内;而伏辊内需喷水作水封并起润滑作用.随同白水进入真空室;洗伏辊水流入伏辊池。  |