睡菜根
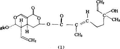
【概况】: 异名 过江龙(《贵州民间草药》)。 基源 为龙胆科睡菜属植物睡菜的根。 原植物 睡菜Menyanthes trifoliata L. 余项参见“睡菜”条。 。【化学】: 含白桦脂酸(Betulinic acid)[1]、睡菜根甙甲(Menthiafolin)(1)、睡菜根甙乙(Foliamenthin)、双氢睡菜根甙乙(Dihydrofoliamenthin)[2]。  参考文献 [1] CA 1959;53(14)∶13513a [2] Chem Commun 1968∶1276 【药性】: 性味 《贵阳民间药草》:“甘、微苦,平。” 功效 润肺,消炎。 主治 止咳,消肿,降血压。 用法用量 内服:煎汤,10~15g(鲜品30g)。 。【临床应用】: 单方应用 ❶ 《贵阳民间药草》:“润肺止咳:鲜过江龙30g(干品15g)。炖肉吃或煎水吃。” ❷ 《贵阳民间药草》:“消湿肿,治风湿痛:过江龙、通花根各15g(干的)。煎水吃。” ❸ 《吉林中草药》:“治高血压:睡菜根15g。捣汁,日服2次。” |