网站首页  词典首页

请输入您要查询的字词:

 

字词 矢量代数
类别 中英文字词句释义及详细解析
释义 矢量代数

矢量=(a1,α2,…,αn),=(b1,b2,…,bn),C=(c1,c2,…,cn)

1.6.1 矢量加、减、数乘运算

A+B=(α1+b1,a2+b2,…,an十bn)

A-B=(α1-b1,a2-b2,…,an-bn)

k·A=(ka1,ka2,…,kan) k为任意实数

A+B=B+A

A+(B+C)=(A+B)+C

m(nA)=(mn)A=n(mA)

(m+n)A=mA+nA

m(A+B)=mA+mB m、n为纯量

1.6.2 矢量乘法

(1)标量积(数量积、点积、内积)

A·B=a1b1+a2b2+…+anbn

设|A|=a,|B|=b,A、B两矢量的夹角为θ,则标量积A·B为一纯量。记为

A·B=abcosθ (0≤θ≤π)

有 A·B=B·A

A(B+C)=A·B+A·C

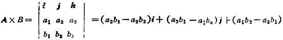
(2)三维矢量的矢量积(叉积、外积)

设A=(a1,α2,a3),B=(b1,b2,b3),|A|=a,|B|=bA、B两矢量的夹角为θ,则定义A×B为两矢量的矢量积(或称叉积、外积)。它是一个矢量,其长度为以A、B为边的平行四边形的面积,方向垂直于A、B两矢量,且A、B、A×B构成右手系(图1.1-1)

|A×B|=absinθ (0≤θ≤π)

在直角坐标系中,A=a1i+a2j+a3k,B=b1i+b2j+b3k,则

k,i、j、k为直角单位向量。

A×A=0

A×B=-B×A

A×(B+C)=A×B+A×C

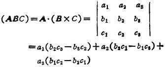
(3)三个矢量的混合积

设A=(a1,α2,α3),B=(b1,b2,b3)C=c1,c2,c3)为三个矢量,则定义它们的混合积为:

混合积具有性质:

A·(B×C)=(A×B)·C

(ABC)=(BCA)=(CAB)=-(ACB)=-(BAC)=-(CBA)

混合积(ABC)是一个数,其绝对值等于以A、B、C为边的平行六面体的体积。

(4)三重矢量积

A×(B×C)=(A·C)B-(A·B)C

(A×B)×C=(A·C)B-(B.C)A

采用A,B,C轮换法还可推出其余两个同类公式。

但A×(B×C)(A×B)×C

(5)矢量夹角与距离

随便看

 

文网收录3541549条中英文词条,其功能与新华字典、现代汉语词典、牛津高阶英汉词典等各类中英文词典类似,基本涵盖了全部常用中英文字词句的读音、释义及用法,是语言学习和写作的有利工具。

 

Copyright © 2004-2024 Ctoth.com All Rights Reserved
京ICP备2021023879号 更新时间:2025/10/18 12:08:02