石灰转窑热量衡算
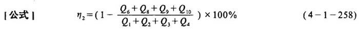
[说明]石灰转窑的热量衡算方框图如下:  图中 Q1——燃料供入热量(kJ/h) Q2——喷油雾化供入热量(kJ/h) Q3——物料带入热量(kJ/h) Q4——燃烧空气带入热量(kJ/h) Q5——CaCO3生成CaO反应吸收热量(kJ/h) Q6——烧成石灰带走热最(kJ/h) Q7——白泥中水分蒸发等吸收热量(kJ/h) Q8——排烟带走热量(kJ/h) Q9——窑体散热损失(kJ/h) Q10——其他热损失(kJ/h) 1.燃料供入热量Q1  式中 G1——燃料消耗量(kg/h) Qy——燃料应用基低位发热量(kJ/kg) C1——燃料比热容[kJ/(kg·℃)],对重油C1=1.88 t1——入窑燃料温度(℃) t——环境温度(℃) 2.油枪喷油雾化用蒸汽供入热量Q2  式中 D2——雾化耗用蒸汽量(kg/h) i2——雾化耗用蒸汽比能(kJ/kg) i——环境温度下水的比能(kJ/kg) 3.物料带入热量Q3  式中 G3——绝干白泥物料量(kg/h) C3——绝干白泥物料比热容[kJ/(kg·℃)],取C3=1.05 W——白泥中水分量(kg/h) C——水的比热容[kJ/(kg·℃)] t2——入窑的湿白泥温度(℃) t——环境温度(℃) G'3——补充石灰石量(kg/h) G'3——石灰石比热容[kJ/(kg·℃)],取1.05 t'2——入窑的补充石灰石温度(℃) 4.燃烧空气带入热量Q4  式中 V——燃烧用空气量(m3/h) C4——空气平均比热容[取1.3kJ/(kg·℃)] t4——入窑时空气温度(℃) t——环境温度(℃) 5.CaCO3生成CaO应吸收热量Q5  式中 3178——生成1千克CaO时所需吸热量(kJ/kg) G5——生石灰产量(kg/h) 6.烧成生石灰带走热量Q6  式中 G6——生成生石灰量(kg/h) C6——生石灰比热容[取1.05kJ/(kg·℃)] t6——生石灰温度(℃) t——环境温度(℃) 7.白泥中水分蒸发等级吸收热量Q7  式中 W——白泥中水分量(kg/h) t1——入窑白泥中的水温(℃) r——水的汽化潜热(kJ/kg),取r=539 C7——过热蒸汽比热容[取1.93kJ/(kg·℃)] t7——排烟温度(℃) 8.排烟热损失Q8  式中 V8——排烟量(m3/h) C8——烟气比热容[取1.42kJ/(kg·℃)] t0——排烟温度(℃) Q7——白泥中水分蒸发等级吸收热量(kJ/h) 9.窑体散热损失Q9  式中 F——窑体散热面积(m2) K——传热系数[kJ/(kg·℃)] t9——窑体散热面外表温度(℃) t——环境温度(℃) 10.其他热损失Q10(略) 11.石灰转窑正平衡热效率η1  式中符号含义及单位同上 12.石灰转窑反平衡热效率η2  式中符号含义及单位同上 |