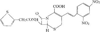
硝基头孢因
C21H16N4O8S2=516.50 CAS-41906-86-9 (7R)-3-[(E)-2,4-二硝基苯乙烯基]-7-(2-噻吩乙酰胺基)-3-头孢-4-羧酸。 (7R)3-[(E)-2,4-Dinitrostyryl]-7-(2-thienylacetamido)-3-cephem-4-carboxylic acid. 3-[2-(2,4-二硝基苯基)乙烯基]-8-氧代-7β-[(2-噻吩乙酰)氨基]-5-硫代-1-氮杂双环[4.2.0]辛-2-烯-2-羧酸。 3-[2-(2.4-Dinitrophenyl)ethenyl]-8-oxo-7β-[(2-thienylacetyl)amino]-5-thia-1-azabicycli[4.2.0]oct-2-ene2-carboxylic acid. 诊断用药。 为β-乳胺酶检查试剂。 头孢尼特罗,硝噻吩头孢菌素。 Nitrocefin,Cephalosporin 87-312. BAN,USAN.  |