硝甲酚汞
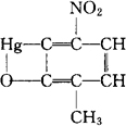
C7H5HgNO3=351.71 CAS-133-58-4 5-甲基-2-硝基-7-氧杂-8-汞双环[4.2.0]辛-1,3,5-三烯。 5-Methyl-2-nitro-7-oxa-8-mercurabicyclo[4.2.0]octa-1,3,5-triene. 2-甲基-5-硝基(苯)酚盐(2-)-C6,O1汞。 2-Methyl-5-nitrophenolate(2-)-C6,O1mercury. 消毒防腐药。 硝甲苯汞,米他芬。 Nitromersol,Metaphen. USAN,USP.  |