硝酸奥昔康唑
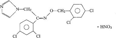
C18H13Cl4N3O·HNO3=492.15 CAS-64211-46-7 CAS-64211-45-6(oxicoazole) (Z)-1-(2,4-二氯苯基)-2-(1H-咪唑-1-基)乙基酮,O-[(2,4-二氯苯基)甲基]肟单硝酸盐。 (Z)-1-(2,4-Dichlorophenyl)-2-(1H-imidazol-l-yl)-ethanone,O-[(2,4-dichlorophenyl)methyl]oxime,mononitrate. 2′,4′-二氯-2-咪唑-1-基苯乙酮-(Z)-[O-(2,4-二氯苄基)肟]单硝酸盐。 2′,4′-Dichloro-2-imidazol-1-ylacetophenone(Z)-[O(2,4-dichlorobenzyl)oxime],mononitrate. 抗真菌药。 Oxiconazole Nitrate,SGD 301-76,RO 13-8996,ST-813,Oceral,Derimine,Myfungar,Okinazole. INN & BAN(Oxieonazole),USAN.  |