网站首页  词典首页

请输入您要查询的字词:

 

字词 硝酸益康唑[中]
类别 中英文字词句释义及详细解析
释义 硝酸益康唑[中]

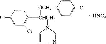
C18H15Cl3N2O·HNO3=444.70

CAS-68797-31-9

(±)-1-[2,4-二氯-β-[(对-氯苯甲基)氧]苯乙基]咪唑的单硝酸盐。

(±)-1-[2,4-Dichloro-β-[(p-chlorobenzyl)oxy]phenethyl]imidazol mononitrate.

抗真菌药。

Econazole Nitrate, Ecostatin, Spectazole,SQ 13050,R 14,827.

INN,JAN,USAN.

随便看

 

文网收录3541549条中英文词条,其功能与新华字典、现代汉语词典、牛津高阶英汉词典等各类中英文词典类似,基本涵盖了全部常用中英文字词句的读音、释义及用法,是语言学习和写作的有利工具。

 

Copyright © 2004-2024 Ctoth.com All Rights Reserved
京ICP备2021023879号 更新时间:2025/10/18 16:58:41