网站首页  词典首页

请输入您要查询的字词:

 

字词 硫化钠、亚硫酸钠及硫代硫酸钠的测定计算
类别 中英文字词句释义及详细解析
释义 硫化钠、亚硫酸钠及硫代硫酸钠的测定计算

1.试样制备

[说明]首先制备三份试样:
❶ 先吸取原黑液50mL于500mL容量瓶中,加蒸馏水稀释至刻度,摇匀,此为A液。
❷ 吸取原黑液50mL于500mL容量瓶中,加入氯化锌饱和溶液10mL,摇动后加蒸馏水稀释至刻度后摇匀静置,此为B液。
❸ 吸取原黑液50mL于500mL容量瓶中,依次加入氯化锌饱和溶液10mL,氯化钡饱和溶液10mL,用少量蒸馏水冲稀混合后,再补充蒸馏水至刻度,摇匀静置,此为C液。

2.测定方法

❶ 硫化钠+亚硫酸钠+硫代硫酸钠总量的测定

[测定方法]吸取A液25mL于250mL锥形瓶中,加100mL蒸馏水,然后将一定量的0.05M碘标准溶液(碘液中加入2mL醋酸)加入锥形瓶中,加入淀粉指示剂,再用0.1M硫代硫酸钠滴定至蓝色消失。则总还原物的毫摩尔数为:

式中 M1、V1-碘标准溶液的摩尔浓度(mol/L)及体积(mL)

M、V-滴定用硫代硫酸钠标准溶液的摩尔浓度(mol/L)及所耗体积(mL)

❷ 亚硫酸钠+硫代硫酸钠含量的测定

[测定方法]吸取B液25mL于250mL锥形瓶中,加100mL蒸馏水及2mL醋酸,使之呈酸性,以淀粉为指示剂,用0.05M碘标准溶液滴定至微呈蓝灰色。则亚硫酸钠+硫代硫酸钠的毫摩尔数为:

式中 M2、V2-碘标准溶液的摩尔浓度(mol/L)及所耗体积(mL)

❸ 硫代硫酸钠含量的测定

[测定方法]吸取C液25mL于250mL锥形瓶中,加100mL蒸馏水及2mL醋酸,使呈酸性,以淀粉为指示剂,用0.05M碘标准溶液滴定至呈蓝色。硫代硫酸钠的毫摩尔数为:

式中 M3、V3-碘标准溶液的摩尔浓度(mol/L)及所耗体积(mD

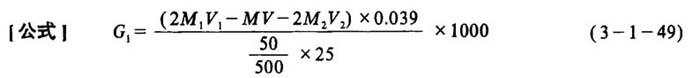
3.计算

式中 G1-硫化钠含量(g/L)(以Na2S计)

G2-亚硫酸钠含量(g/L)(以Na2SO3计)

G3-硫代硫酸钠含量(g/L)(以Na2S2O3计)

0.039.-与1mL1mol硫代硫酸钠溶液相当的硫化钠量(g)

0.126、0.136-分别表示与1mL1mol碘溶液相当的Na2SO3和Na2S2O3的量(g)

其它同上

随便看

 

文网收录3541549条中英文词条,其功能与新华字典、现代汉语词典、牛津高阶英汉词典等各类中英文词典类似,基本涵盖了全部常用中英文字词句的读音、释义及用法,是语言学习和写作的有利工具。

 

Copyright © 2004-2024 Ctoth.com All Rights Reserved
京ICP备2021023879号 更新时间:2026/4/19 15:26:36