硫糖酯钾
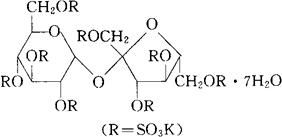
C12H14K8O35S8·7H2O=1413.59 CAS-76578-81-9 CAS-57680-56-5(sucrosofate) 1,3,4,6-四O-磺基-β-呋喃果糖基α-D-吡喃葡萄糖苷,四硫酸氢酯,八钾盐,七水合物。 α-DGlucopvranoside,1,3,4,6-tetra-O-sulfo-β-fructofuranosyl,tetrakis(hydrogen sulfate),octapotassium salt,heptahydrate. 蔗糖八硫酸钾,七水合物。 Sucrose octakis(potassium sulfate),heptahydrate. 抗溃疡病药。 Sucrosofate Potassium,Agent M-Ol. INN(Sucrosofate),USAN. 
|