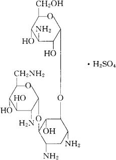
硫酸卡那霉素B[中]
C18H37N5O10·H2SO4=581.59 CAS-8063-07-8(kanamycin) 2′氨基-2′-脱氧卡那霉素硫酸盐(1∶1)。 2′-Amino-2′-deoxy-kanamycin sulfate(1∶1)(salt). 抗生素类药。对金黄色葡萄球菌、肺炎球菌、痢疾杆菌、大肠杆菌、绿脓杆菌等的感染均有效。 Kanamycin B Sulfate,Coltericin,Kanendomycin.Bekanamycin Sulfate. 注射用硫酸卡那霉素B。 MI.  |