硫酸卡那霉素[典]
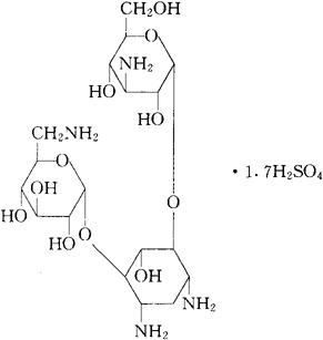
C18H36N4O11·1.7H2SO4=651.22 CAS-25389-94-0 O-3-氨基-3-脱氧-α-D-吡喃葡糖基(1→6)-O-[6-氨基-6-脱氧-α-β-吡喃葡糖基(1→4)]-2-脱氧-D-链霉胺硫酸盐。 O-3-Amino-3-deoxy-α-Dglucopyranosyl(1→6)-O[6-amino-6-deoxy-α-D-glucopyranasyl(1→4)]-2-deoxy-D-streptamine sulfate(1∶1)(Salt). 抗生素类药。为氨基糖甙类广谱抗生素。 用于葡萄球菌、大肠杆菌、变形杆菌、克雷白肺炎杆菌、产气杆菌等感染。 硫酸康丝菌素(台)。 Kanamycin Sulfate,Kantrex,Kantrim Klebcil,Chanamycin,Kantrox,Kanabiotic,Kanasyn,Kanynex,Kamycine,Visiokano. 注射用硫酸卡那霉素,卡那霉素滴眼液,硫酸卡那霉素片,硫酸卡那霉素软膏,硫酸卡那霉素注射液,硫酸卡那霉素胶囊,硫酸卡那霉素眼药水(卡那霉素眼药水)。 USAN,USP,MI  |