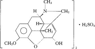
硫酸可待因
(C18H21NO3)2·H2SO4·3H2O=750.86 CAS-6854-40-6 CAS-1420-53-7 CAS-6059-47-8(codeine) 7,8-二脱氢-4,5α-环氧-3-甲氧-17-甲基吗啡喃-6α-醇硫酸盐(2∶1)三水化合物。 7,8-Didehydro-4,5α-epoxy-3-methoxy-17-methylmorphinan-6α-ol sulfate(2∶1)(salt)trihydrate. 镇痛药,镇咳药。用于无痰干咳及剧烈频繁的咳嗽。 Codeine Sulfate. USAN,USP.  |