硫酸吗啡
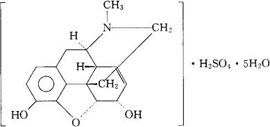
(C17H19NO3)2·H2SO4·5H2O=758.83 CAS-6211-15-0 CAS-64-31-3(anhydrous) CAS-57-27-2(morphine) (5α,6α)-7,8-二去氢-4,5-环氧-17-甲基吗啡喃-3,6-二醇,硫酸盐(2∶1),五水化合物。 (5α,6α)-7,8-Didehydro-4,5-epoxy-17-methyl,morphinan-3,6-diol,sulfate(2∶1)(salt),pentahydrate. 7,8-二去氢-4,5α-环氧-17-甲基吗啡喃3,6α-二醇硫酸盐(2∶1)五水化合物。 7,8-Didehydro-4,5α-epoxy-17-methylmorphinan-3,6α-diol sulfate(2∶1)(salt)pentahydrate. 镇痛药。 Morphine Sulfate,Astramorph,Duramorph,MS,Contin,MSIR. USAN,USP.  |