硫酸头孢匹罗
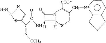
C22H22N6O5S2·H2SO4=612.65 CAS-98753-19-6 CAS-84957-29-9(cefpirome) [6R-[6α,7β(Z)]]-1-[[7-[[(2-氨基-4-噻唑基)(甲氧亚氨基)乙酰]氨基]-2-羧-8-氧代-5-硫杂-1-氮杂双环[4.2.0]辛-2-烯-3-基]甲基]-6,7-二氢-5H-1-鎓氢氧化物,内盐,硫酸盐(1∶1)。 1-[[7-[[(2-Amino-4-thiazolyl)(methoxyimino)acetyl]amino]-2-carboxy-8-oxo-5-thia-1-azabicyclo[4.2.0]oct-2-en-3-yl]methyl]-6,7-dihydro-5H-1-pyrindinium,hydroxide,inner salt,[6R-[6α,7β(Z)]]-.sulfate(1∶1). 1-[[(6R,7R)-7-[2-(2-氨基-4-噻唑基)乙醛酰胺基]-2-羧-8-氧代-5-硫杂-1-氮杂双环[4.2.0]辛-2-烯-3-基]甲基]-6,7-二氢-5H-1-吡啶鎓氢氧化物,内盐,72(Z)-(O-甲肟)硫酸盐(1∶1)。 1-[[(6R,7R)-7-[2-(2-Amino-4-thiazolyl)glyoxylamido]-2-carboxy-8-oxo-thia-1-azabicyclo[4.2.0]oct-2-en-3-yl]methyl]-6,7-dihydro-5H-1-pyrindinium hydroxide,inner salt,72-(Z)(O-methyloxime),sulfate(1∶1). 抗生素类药。 硫酸头孢唑隆。 Cefpirome Sulfate,HR 810 Sulfate. INN(Cefpirome),USAN.  |