硫酸巴龙霉素[典]
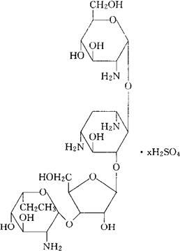
C23H45N5O14·xH2SO4=615.63(base) CAS-1263-89-4 O-2,6-二氨基-2,6-二脱氧-β-L-艾杜吡喃糖基-(1→3)-O-β-D-呋喃核糖基-(1→5)-O-[2-氨基-2-脱氧-α-D-吡喃葡萄糖基-(1→4)]-2-脱氧链霉胺硫酸盐。 O-2,6-Diamino-2,6-dideoxy-β-L-idopyranosyl-(1→3)-O-β-D-ribofuranosyl-(1→5)O-[2-amino-2-deoxy-α-D-glucopyranosyl-(1→4)]-2-deoxy-streptamine sulfate(salt). 抗生素类药。用于细菌性痢疾及阿米巴肠病。 Paromomycin Sulfate,Estomycin,Gabbromycin. 硫酸巴龙霉素片。 IP,USAN,USP,MI.  |