硫酸布替罗星
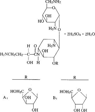
C21H41N5O12·2H2SO4·2H2O=787.76 CAS-51022-98-1 CAS-57549-48-1(anhydrous) CAS-12772-35-9(butirosin) 硫酸布替罗星。 Butirosin sulfate. O-2,6-二氨基-2,6-二脱氧-α-D-吡喃葡糖基-(1→4)-O-[β-D-呋喃木糖基-(1→5)]-N1-(4-氨基-L-2-羟丁酰)-2-脱氧-D-链霉胺硫酸盐(1∶2)二水合物与O2,6-二氨基-2,6-二脱氧-α-D-吡喃葡糖基(1→4)-O[β-D-呋喃核糖基-(1→5)]-N1-(4-氨基-L-2-羟丁酰)-2-脱氧-D-链霉胺硫酸盐(1∶2)二水合物的混合物。 O-2,6-Diamino-2,6-dideoxy-α-D-glucopyranosyl-(1→4)-O-[β-D-xylofuranosyl-(1→5)]-N1-(4-aminoL-2-hydroxybutyryl)-2-deoxy-D-streptamine sulfate(1∶2)(salt)dihydrate mixture with O-2,6-diamino-2,6-dideoxy-α-D-glucopyranosyl-(1→4)-O[β-D-ribofuranosyl-(1→5)]-N1-(4-amino-L-2-hydroxybutyryl)-2-deoxy-D-streptamine sulfate(1∶2)(salt)dihydrate. 抗菌药。抗菌谱与庆大霉素、雷布菌素等相似。 盐酸丁胺菌素。 Butirosin Sulfate,CI-642. INN(Butirosin),BAN(Butirosin Sulphate),USAN. 注∶硫酸布替罗星(硫酸石胺苗素)是A和B的混合物。 
|