网站首页  词典首页

请输入您要查询的字词:

 

字词 硫酸盐竹浆漂白用氯量计算
类别 中英文字词句释义及详细解析
释义 硫酸盐竹浆漂白用氯量计算

【说明】 漂白硫酸盐竹浆,当高锰酸钾值K在9~12之间时,用氯量可用下式计算。

【公式】

式中符号含义及单位同上

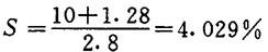
【例】 当K=10时,则用氯量为:

随便看

 

文网收录3541549条中英文词条,其功能与新华字典、现代汉语词典、牛津高阶英汉词典等各类中英文词典类似,基本涵盖了全部常用中英文字词句的读音、释义及用法,是语言学习和写作的有利工具。

 

Copyright © 2004-2024 Ctoth.com All Rights Reserved
京ICP备2021023879号 更新时间:2025/10/19 11:51:01