网站首页  词典首页

请输入您要查询的字词:

 

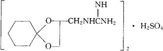
字词 硫酸胍那瑞尔
类别 中英文字词句释义及详细解析
释义 硫酸胍那瑞尔

(C10H19N3O2)2·H2SO4=524.63

CAS-22195-34-2

(1,4-二氧杂螺[4,5]癸烷-2-基甲基)胍硫酸盐(2∶1)。

(1,4-Dioxaspiro[4,5]dec-2-ylmethyl)guanidine sulfate(2∶1).

降压药。

Guanadrel Sulfate,Hylorel,Anarel.

USAN,MI.

随便看

 

文网收录3541549条中英文词条,其功能与新华字典、现代汉语词典、牛津高阶英汉词典等各类中英文词典类似,基本涵盖了全部常用中英文字词句的读音、释义及用法,是语言学习和写作的有利工具。

 

Copyright © 2004-2024 Ctoth.com All Rights Reserved
京ICP备2021023879号 更新时间:2025/10/18 19:52:59