网站首页  词典首页

请输入您要查询的字词:

 

字词 硬水黄连
类别 中英文字词句释义及详细解析
释义 硬水黄连

【概况】:

异名 黄脚鸡(四川)。

基源 为毛茛科唐松草属植物短梗箭头唐松草带根的全草。

原植物 短梗箭头唐松草Thalictrum simplex L.var.brevipes Hara(T.simplex auct.non L.)

形态 植株全部无毛。茎高54~100cm,不分枝或在下部分枝。

茎生叶向上近直展,为二面羽状复叶;茎下部的叶片长达20cm,小叶多为楔形,小裂片狭三角形,顶端锐尖,茎下部叶有稍长柄,上部叶无柄。

圆锥花序塔形,不明显二叉状分枝;花梗长4~7mm;萼片4,早落,狭椭圆形,长约2.2mm;雄蕊约15,长约5mm,花药狭长圆形,长约2mm,顶端有短尖头,花丝丝形;心皮3~6,无柄,柱头宽三角形。瘦果狭椭圆状球形或狭卵球形,与果梗近等长,有8条纵肋。花期7月。(图见《中国植物志》.27卷.581页.图版147∶1~3)

生境与分布 生于平原或低山草地或沟边。分布于中国辽宁、吉林、内蒙古、河北、山西、陕西、甘肃、青海、湖北西部、四川。朝鲜、日本也有分布。

。【生药】:

采集 5月采挖根,晒干。

药材产于四川。

鉴别 根茎较粗,须根众多,细长,呈马尾状,表面灰棕色至灰黄色,根茎上方常有茎杆残基。气微,味苦。

贮藏 置通风干燥处。

。【化学】:

地上部分含生物碱:唐松草宁碱(Thalictrinine)、箭头唐松草碱(Thalsimine,Thalcimine)、鹤氏唐松草碱(Hernandezine)、唐松草嗪(Thalidezine)、唐松草洒明碱(Thalisamine)[1]

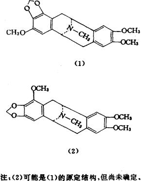
地上部尚分得唐松草莫宁(Thalimonine)(1),化学名为(-)-3,4-亚甲二氧基-2,8,9-三甲氧基杷碱烷[(-)-3,4-Methylenedioxy-2,8,9-trimethoxypavinane][2]。本品是新化合物抑或为从直立唐松草(T.strictum)所得的(-)-2,3-亚甲二氧基-4,8,9-三甲氧基杷碱烷(2)[3]的结构修正,尚未确定。

从地上部分到两个生物碱:(-)-2-去甲基唐松草莫宁[(-)-2-Demethylthalimonine],(-)-9-去甲基唐松草莫宁[(-)-9-Demethylthalimonine]及已知物蓟罂粟碱(Argemonine)[4]。叶含唐松草宁碱、箭头唐松草碱。根含生物碱小唐松草碱(Thalicmine)、小唐松草宁碱(Thalicminine)、β-别隐品碱(β-Allocryptopine)、木兰碱(Magnoflorine)、箭头唐松草米定碱(Thalicsimidine)、黄唐松草碱(Thalictricine)、鹤氏唐松草碱等。种子含箭头唐松草碱。

油中分出唐松草酸(Thalictric acid,即反十八烯-5-酸)[1]

参考文献 [1] 江苏新医学院.中药大辞典.下册.上海人民出版社,1977∶2336 [2] J Nat Prod 1992;55(5)∶679 [3] Khim Prir Soed 1976∶116 [4] Planta Med 1993;59(3)∶ 262

【药性】:

性味 《四川中药志》:“苦,寒。”

功效 清湿热,解毒,利尿。

主治 ❶ 《纲目拾遗》:“治鼻疳。”
❷ 《分类草药性》:“治五种黄疸,哮吼喘急,解热毒,涂火疮。”
❸ 《全国中草药汇编》:“黄疸,腹水,小便不利,眼结膜炎。”
❹ 《中药大辞典》:“黄疸,痢疾,哮喘,麻疹合并肺炎,鼻疳,目赤,热疮。”
❺ 《四川中药志》:“治五种黄疸,腹痛泻痢,目赤红肿,咳嗽气喘,涂热毒疮。”
❻ 《新华本草纲要》:“治黄疸,泻痢。花、果:治肝炎,肝肿大。

用法用量 内服:煎汤,3~10g。外用:研末调涂或煎水洗眼。

。【临床应用】:

方选和验方 ❶ 《纲目拾遗》:“治鼻疳:百部9g(切片晒干,炒,取净末6g),地骨皮(净炒)6g,五倍子(炒)、黄柏(炒)、甘草(炒)各6g,硬水黄连(切片,炒)3g。共为末。如鼻疳烂通孔者,以此调香油搽。


❷ 《中国沙漠地区药用植物》:“治大叶性肺炎:箭头唐松草15g,葶苈子9g,甘草6g。水煎服。”
❸ 《中国沙漠地区药用植物》:“治小儿麻疹合并肺炎:箭头唐松草根、蝉蜕、旋覆花各5g。水煎服。


❹ 《中国沙漠地区药用植物》:“治痢疾:箭头唐松草、马齿苋各15g。水煎服。

随便看

 

文网收录3541549条中英文词条,其功能与新华字典、现代汉语词典、牛津高阶英汉词典等各类中英文词典类似,基本涵盖了全部常用中英文字词句的读音、释义及用法,是语言学习和写作的有利工具。

 

Copyright © 2004-2024 Ctoth.com All Rights Reserved
京ICP备2021023879号 更新时间:2025/11/30 23:58:01