确定型存贮模型Ⅱ
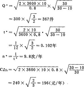
均匀进货,不允许缺货的存贮模型。 (1)模型假设条件: 模型Ⅰ条件中,第2条改为非瞬时进货,即边进货边使用,进货速度为P,且P>R。其余条件与模型Ⅰ相同。 (2)库存量随时间变化的图形:  (3)费用模型: ❶ 费用(C)与进货周期(t)关系:  ❷ 费用(C)与批量(Q)关系:  式中:N表示一定时期(一般指一年)对某种物资的需求总量;其余含义同模型Ⅰ。 (4)模型最佳量的确定: ❶ 最佳订购(或生产)批量:  ❷ 最佳进货周期(或生产间隔周期):  ❸ 最低费用  ❹ 最佳最高库存量  例:设某种物资按确定型模型Ⅱ周转,已知:P=30件/天,R=10件/天,N=3600件/天,其他数据同模型Ⅰ例。则  如果考虑购入成本,则最低总成本为: 
|