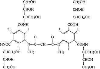
碘曲仑[中]
C37H48I6N6O18=1626.24 CAS-79770-24-4 5,5′-丙二酰双(甲基亚氨基)双间[N,N′-双[2,3-二羟-1-(羟甲基)丙基]2,4,6-三碘间苯二甲酰胺]。 5,5′-Malonylbis(methylimino)bis[N,N′-bis-[2,3-dihydroxy-1-(hydroxymethyl)propyl]-2,4,6-triiodoisophthalamide]. 造影药。 碘太醇。 Iotrol,Totrolan. INN,BAN,USAN.  |