网站首页  词典首页

请输入您要查询的字词:

 

字词 碟形封头的设计计算
类别 中英文字词句释义及详细解析
释义 碟形封头的设计计算

[说明]见图2-3-3。

1.壁厚计算

式中 R1——碟形封头球面部分的内壁曲率半径(m)

k3——碟形封头的形状系数,其值见表2-3-5

表2-3-5 碟形封头的形状系数k3

r——见图2-3-3

其它同上

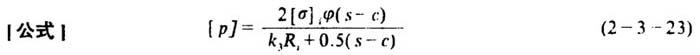
2.许用压力计算

式中符号含义及单位均同上

随便看

 

文网收录3541549条中英文词条,其功能与新华字典、现代汉语词典、牛津高阶英汉词典等各类中英文词典类似,基本涵盖了全部常用中英文字词句的读音、释义及用法,是语言学习和写作的有利工具。

 

Copyright © 2004-2024 Ctoth.com All Rights Reserved
京ICP备2021023879号 更新时间:2026/4/18 20:45:45