磁场的分析方法
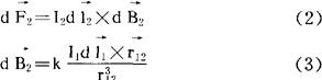
磁铁周围存在磁场早为人们所发现,历史上很长一段时间里,磁与电被认为是两类截然分开的现象,直到19世纪初,人们才认识到电与磁之间有著不可分割的联系。 所有的磁场都是由电流或运动电荷产生的(根据安培分子环流假说,磁铁与磁场,物质的磁性,都是分子环流导致的)。运动著的电荷之间不单存在库仑相互作用,还同时存在著磁相互作用。在磁学中,与库仑定律相当的是安培定律,即距电流元I1dl1为r12的电流元I2dl2所受到前者的磁作用力为  式中k是取决于单位制的普适常数。 上式也可写成  (3)式所示的dB2称为电流元I1dI1在I2dl2所在处r2所产生的磁感应强度。 考虑到空间存在多种电流,则这些电流在 所产生的总磁感应强度应为(毕奥萨伐尔定律)  此时(2)推广为 (5) (5)式表明,与电学中用检验电荷来检测电场类似,磁学中原则上可以用电流元Idl来检验磁场,在实验中当然不可能有孤立的电流元,但可用采用小面积的平面载流圈来检验磁场,可以证明,面积为S、共N匝、所通电流为Ⅰ的线圈在磁场受到一个力矩 的作用,  式中\\是与线圈电流成右手系的法向)称为该载流线圈的磁矩。 与电场类似,根据磁场的特点,可引起所谓矢势 ,它与 的关系为 (6) 然后建立 的微分方程(其形式与泊松方程相似,只是这里的源应改为电流密度,另外还带一个与单位制有关的常系数),结合边界条件解该方程并从 (6)式求 ,这样计算有时比直接从(4)式计算更为方便有效。 |