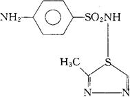
磺胺甲二唑
C9H10N4O2S2=270.32 CAS-144-82-1 4-氨基-N-(5-甲基-1,3,4-噻二唑-2基)苯磺酰胺。 4-Amino-N-(5-methyl-1,3,4-thiadiazol-2-yl)benzenesulfonamide. N1-(5-甲基1,3,4-噻二唑-2-基)氨苯磺酰胺。 N1-(5-Methyl-1,3,4-thiadiazol-2-yl)sulfanilamide. 磺胺类药。 Sulfamethiazole. INN,BAN(Sulphamethiazole),BP,DCF,DCIT,EP,JP,USAN,USP.  |