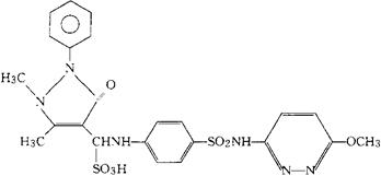
磺胺马宗
C23H24N6O7S2=560.60 CAS-65761-24-2 α-[对-[(6-甲氧-3-哒嗪基)氨磺酰]苯胺基]-2,3-二甲基-5-氧代-1-苯基-3-吡唑啉-4-甲磺烷酸。 α-[p-[(6-Methoxy-3-pyridazinyl)sulfamoyl]anilino]-2,3-dimethyl-5-oxo-1-phenyl-3-pyrazoline-4-methanesulfonic acid. 磺胺类药。 磺胺达唑啉。 Sulfamazone. DCIT,USAN.  |