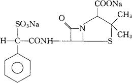
磺苄西林钠
C16H16N2Na2O7S=458.43 CAS-41744-40-5(sulbenicillin) 3,3-二甲基-7-氧代-6-(2-苯基-2-磺乙酰胺基)-4-硫杂-1-氮杂双环[3.2.0]庚烷-羧酸二钠盐。 3,3-Dimethyl-7-oxo-6-(2-phenyl-2-sulfoacetamido)- 4-thia-1-azabicylclo[3.2.0]heptane-2-carboxylicacid disodium salt. 抗生素药。用于绿脓杆菌、变杆形菌、克勒菌、大肠杆菌、感冒杆菌及革兰氏阴性杆菌等的感染。 α-磺苄青霉素钠。 Sulbenicillin Sodium,Sulbenicillin Disodium,Sodium Sulbenicillin,Kedacillin,Lilacillin,Suncillin. 注射用磺苄青霉素钠。 JAN,MI. 
|