网站首页  词典首页

请输入您要查询的字词:

 

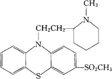
字词 磺达嗪
类别 中英文字词句释义及详细解析
释义 磺达嗪

C21H26N2O2S2=402.57

CAS-14759-06-9

10-[2-(1-甲基-2-哌啶基)乙基]-2-甲磺酰吩噻嗪。

10-[2-(1-Methyl-2-piperidyl)ethyl]-2-methylsulfonylphenothiazine.

安定药。

甲磺达嗪。

Imagotan,Inofal,Sulforidazine.

INN,DCF,DCIT,NFN,USAN,MI.

随便看

 

文网收录3541549条中英文词条,其功能与新华字典、现代汉语词典、牛津高阶英汉词典等各类中英文词典类似,基本涵盖了全部常用中英文字词句的读音、释义及用法,是语言学习和写作的有利工具。

 

Copyright © 2004-2024 Ctoth.com All Rights Reserved
京ICP备2021023879号 更新时间:2026/1/21 21:16:16